이번 포스팅에서는 보의 처짐 공식 유도하는 법에 대해 알아봅시다.
보의 처짐 곡선 방정식
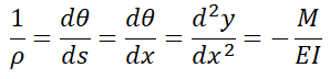
우선 처짐 공식을 유도하기위해 처짐 곡선 방정식부터 유도해봅시다.

처짐 곡선은 좌표 x에 대한 처짐량의 함수로 나타낼 수 있으며,
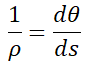
보의 각 지점에서 발생하는 처짐은 그 점에서의 곡률반경과 모멘트의 함수로써
아래와 같이 표현됩니다.

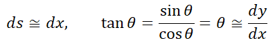
이 곡률에 관한 방정식과 보의 처짐 사이의 관계는 s1, s2점을 살펴보면 알 수 있는데요.
s1점에서 그은 접선과 x축이 이루는 각을 θ,
s2점에서 그은 접선과 x축이 이루는 각을 θ-dθ라 하면
그럼 각 s1-O-s2가 이루는 각은 dθ가 되죠.
즉, ds=ρdθ의 관계가 성립합니다. 따라서

그런데 여기서 실제 보의 처짐은 small deformation이기 때문에

라 할 수 있으므로,

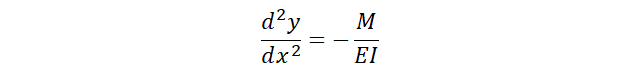
위와 같이 정리됩니다. 따라서 보의 처짐 곡선 방정식은 아래와 같습니다.

보의 처짐각 & 처짐량
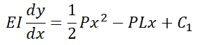
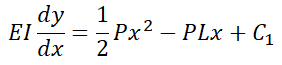
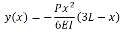
아래 외팔보에 대해 처짐 공식을 구해봅시다.

길이 L인 보의 끝점에 힘 P가 작용하고, 그에 따라 보의 시작점에
반력 P와 저항모멘트 M이 작용하고 있는 상태입니다.
위에서 유도한 처짐 곡선의 방정식을 이용해 처짐량을 유도해보죠.
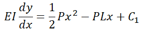
우선, 모멘트 M=PL이므로,

적분하면

여기서 x=0일 때 보의 시작점에선 처짐각이 0이므로 C1 = 0입니다.
dy/dx는 보의 처짐각도이므로, 정리하여 나타내면 아래와 같습니다.

그럼 보의 끝점에서 처짐각을 알아보죠.

보가 아래방향으로 처지므로, 여기서 각도의 부호는 -가 맞습니다.
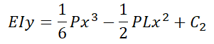
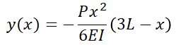
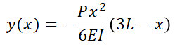
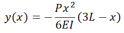
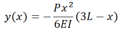
처짐량을 구하기 위해 다시 한번 적분하면

이 때, x=0이면 보의 시작점에선 처짐량 또한 0이므로 C2 = 0입니다.
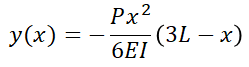
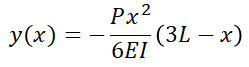
따라서, 보의 처짐량 y는 아래와 같습니다.

하중 P에 의한 끝점에서의 처짐량 y(L)은 아래와 같습니다.

보가 아래방향으로 처지므로, 위 식값에서 처짐량의 부호는 (-)가 맞습니다.
정리하자면,
보의 처짐각 y'(x) & 처짐량 y(x) 공식


끝점 L에서의 처짐각 y'(L) & 처짐량 y(L)


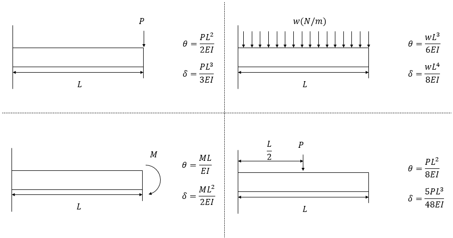
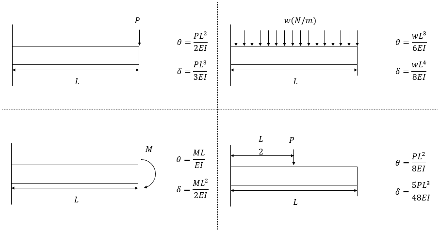
보의 종류와 처짐각 & 처짐량
여러 종류 보의 처짐각(θ)과 처짐량(δ)을 아래에 나타내었습니다.
경우에 맞게 활용할 수 있을거예요!


이상으로 보의 처짐각과 처짐량에 대해 알아보았습니다.
'공학 > 재료역학' 카테고리의 다른 글
| [재료역학] 피로(fatigue) (0) | 2021.03.07 |
|---|---|
| [재료역학] 카스틸리아노의 정리(Castigliano's theorem) (2) | 2020.12.21 |
| [재료역학] 관성모멘트(Moment of inertia), 극관성모멘트(Polar moment of inertia) (0) | 2020.12.16 |
| [재료역학] 단면 1차 모멘트(First moment of area)와 도심(Centroid) (0) | 2020.12.15 |
| [재료역학] 조합단면의 응력과 변형량 (0) | 2020.12.14 |